2023年2月1日,350vip浦京集团官网黄婧和李国星团队(健康城市研究团队)在精神病学领域顶刊JAMA Psychiatry (IF2022=25.911)在线发表了题为“Long-term Exposure to Multiple Ambient Air Pollutants and Association With Incident Depression and Anxiety”的研究论文。该研究探讨了大气污染长期暴露对抑郁和焦虑发病风险的影响。目前研究已被全球115家新闻媒体报道,包括CNN、National Geographic、Medical Press、Neurology Advisor、ScienceMag、EurekAlert等,文章的受关注指数位于所有统计关注度论文的前5%(Altmetric指数938)。


大气污染是目前全球面临的最大环境健康风险,近年来其对精神健康的影响逐渐受到关注。抑郁和焦虑是常见的精神疾病,根据GBD 2019年数据,二者分别位于精神疾病导致伤残调整寿命年的第一和第二位。既往研究提示大气污染短期暴露与抑郁和焦虑的风险增加有关,然而大气污染长期暴露与抑郁之间关联的研究结果并不一致,并且缺乏大气污染长期暴露与焦虑之间关联的研究证据。研究团队既往评估了我国城市大气PM2.5改善状况与中老年人群精神健康的关系,发现较高大气污染水平地区,PM2.5浓度下降对我国中老年人群的抑郁程度有显著的改善效果,但目前在较低大气污染水平地区的证据仍非常有限。此外,既往研究多关注单种大气污染物的效应,多种大气污染物对抑郁与焦虑的联合效应有待进一步探索。由于抑郁和焦虑的疾病负担不断增加,识别大气污染对这两种常见精神疾病的影响并采取相应的防控措施具有重要的公共卫生学意义。
基于上述,本研究在既往研究基础上开展了较低大气污染水平地区大气污染长期暴露对抑郁和焦虑发病风险的影响。研究基于英国生物样本库(UK Biobank)这一大型前瞻性数据库开展。共纳入389,185名研究对象,使用ICD-10编码识别抑郁(F32-F33)和焦虑(F40-F48)的发病,中位随访时间为10.9年,随访期间研究对象中共发生13,131例抑郁和15,835例焦虑。利用土地利用回归模型根据研究对象居住地址估计其住址水平的大气污染暴露情况。研究期间大气污染暴露水平的中位数分别为:PM2.5: 9.9 μg/m3; PM2.5-10: 6.1μg/m3; NO2: 26.0 μg/m3; NO: 15.9 μg/m3,其中PM2.5和NO2浓度水平均符合英国现行的空气质量标准。考虑到大气污染物之间的高相关性,为评估多种大气污染物的联合暴露,使用主成分分析计算大气污染物评分。通过Cox比例风险模型分析了大气污染物长期暴露(包括PM2.5、PM2.5-10、NO2、NO以及大气污染物评分)与抑郁和焦虑发病风险之间的关联,并使用限制性立方样条绘制暴露-反应关系曲线。
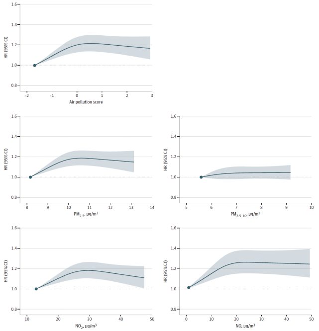
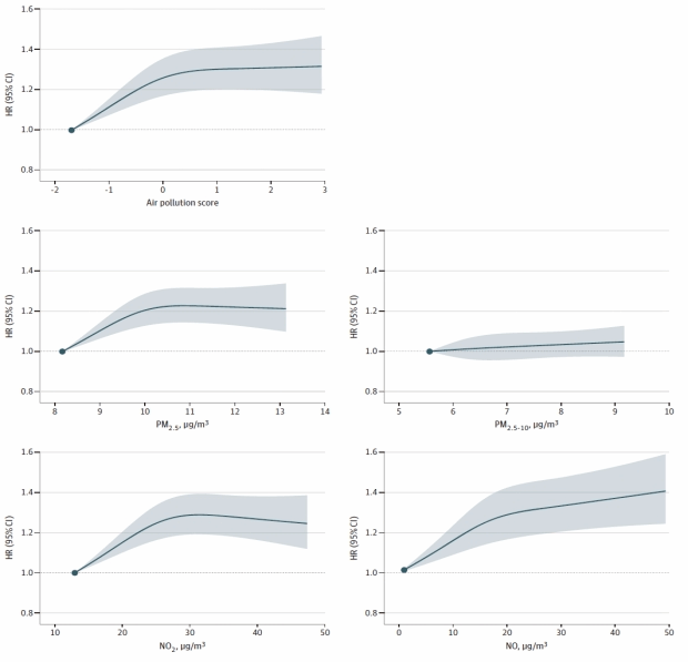
大气污染物评分与抑郁(图1)和焦虑(图2)发病风险之间关联的暴露-反应关系曲线呈现低浓度陡峭,高浓度平缓的非线性趋势,PM2.5、NO2和NO呈现类似趋势。
图1 大气污染和抑郁发病的暴露-反应关系图
图2 大气污染和焦虑发病的暴露-反应关系图
此外,根据大气污染物的四分位数分组进行分析,结果发现相对于PM2.5,NO2,NO最低暴露组(Q1),较高暴露组(Q2-Q4)抑郁发病的风险增加;大气污染与焦虑发病风险之间的关联呈现一致结果(图3)。
图3 不同大气污染物与抑郁和焦虑发病风险之间的关联
鉴于PM2.5、NO2、NO与抑郁和焦虑发病呈显著关联,使用上述三种污染物通过主成分分析构建大气污染物评分。相对于最低大气污染物评分组(Q1),较高大气污染物评分组(Q2-Q4)抑郁发病的风险比分别为1.08 (95% CI, 1.02-1.14; P = .004), 1.17 (95% CI, 1.11-1.24; P < .001), 1.16 (95% CI, 1.09-1.23; P < .001);焦虑发病的风险比分别为1.09 (95% CI, 1.04-1.14; P < .001), 1.14 (95% CI, 1.08-1.19; P < .001), 1.11 (95% CI, 1.05-1.17; P < .001)。
研究结果表明,即使在较低大气污染水平下(PM2.5<10 μg/m3、NO2<20 μg/m3),仍能观察到其与抑郁和焦虑发生风险增加的关联,并且暴露反应关系呈现低浓度陡峭,高浓度平缓的趋势。鉴于欧美及我国等全球很多国家现行的空气质量标准浓度仍远高于2021《WHO空气质量指南》,该研究从大气污染对精神疾病负担影响的角度,提出了基于该指南进一步开展大气污染防控的必要性,具有重要的公共卫生学意义。
350vip浦京集团官网350vip浦京集团官网2016级七年制硕士研究生杨腾和2020级博士研究生王佳炜为该论文的共同第一作者,350vip浦京集团官网黄婧副研究员和李国星副教授为该论文的通讯作者。研究合作者帝国理工学院Frank J. Kelly 教授为欧洲科学院院士,全球大气污染研究领域的著名专家。该研究得到了国家留学基金委项目的资助。
论文链接:https://jamanetwork.com/journals/jamapsychiatry/fullarticle/2801116
通讯作者简介
黄婧:350vip浦京集团官网副研究员,博士生导师,牛津大学访问学者。入选中国科协首批青年人才托举工程。主要研究方向为健康城市环境建设与人群健康研究,空气污染的健康影响与防控效果评价。担任中国环境科学学会环境医学与健康分会秘书,北京环境诱变剂学会青年专业委员会常务委员,Frontiers in Public Health期刊客座主编。第一/通讯作者代表性研究论文发表于JAMA Psychiatry (2023), Lancet Planet Health (2018), Eur Heart J (2023), JASN (2021), JACC: Adv (2023)等。获第十六届北京青年优秀科技论文奖;作为主要完成人,获北京市科学技术奖二等奖、环境保护科学技术奖二等奖和中国颗粒学会自然科学奖二等奖。

李国星:350vip浦京集团官网副教授,硕士生导师,新西兰奥克兰大学访问学者,帝国理工大学访问学者兼客座教授。担任北京环境诱变剂学会副秘书长,常务理事。主要研究方向为气候变化的健康风险和疾病负担研究,大气污染健康研究,环境健康风险评价。BMC Public Health期刊编委。作为第一或通讯作者在JAMA Psychiatry, Lancet Planet Health, JASN, Environ Int等期刊发表中英文论文50余篇,参编专著教材5部。